알림
뒤로
알림 설정
뒤로
더보기
게시물 알림
내 글 반응
내가 작성한 게시물이나 댓글에 다른 사람이 댓글이나 답글을 작성하면 알려줍니다.
공지사항
사이트에서 보내는 중요한 공지를 실시간으로 알려줍니다.
Alarm
마이페이지
로그아웃
로그인이 필요합니다.
로그인
공지사항 및 뉴스
자료실
닫기
로그인
회원가입
장바구니
0
MENU
푸른기술
장바구니
0
site search
공지사항 및 뉴스
자료실
의 자료실
공지사항 및 뉴스
자료실
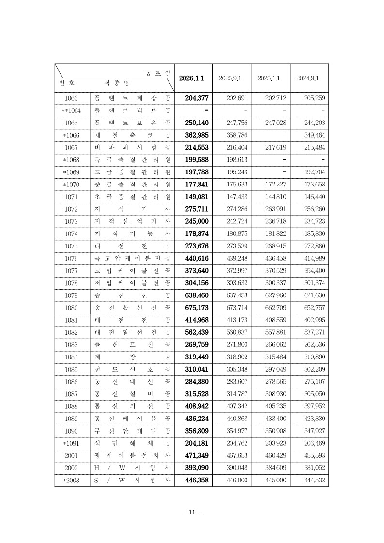
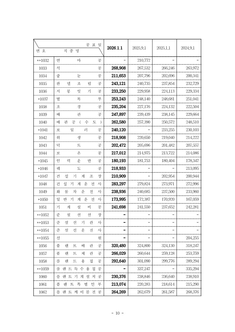
26년 상반기 적용 시중노임단가
자료실
2026년 표준 노임단가.pdf
1298KB
작성
26년 표준품셈 (국토교통부, 서울시)
원가계산서 간접공사비 적용 기준
목록
글쓰기